信息科学与工程学院集成电路团队提出一种超级场板技术,大幅提升了横向绝缘栅双极型晶体管(LIGBT)的耐压能力,使其接近了理论极限。相关成果以“A 500V Super Field Plate LIGBT with Excellent Voltage Blocking Capability”为题发表于集成电路领域顶级期刊IEEE Electron Device Letters,论文第一单位为永利yl23411官网信息科学与工程学院,张春伟老师为第一作者,李阳老师为通讯作者。
LIGBT兼具MOS管的集成度高、易驱动的优点和BJT电流能力强、高输出功率的优点,广泛应用于新能源汽车、轨道交通、白色家电、工业控制等领域,被誉为电力电子装备的“心脏”以及高效节能减排的主力军,其关键核心技术研究受到了学术界和产业界的广泛关注。该工作针对LIGBT的耐压能力和电流能力提出了一种世界先进的设计技术。
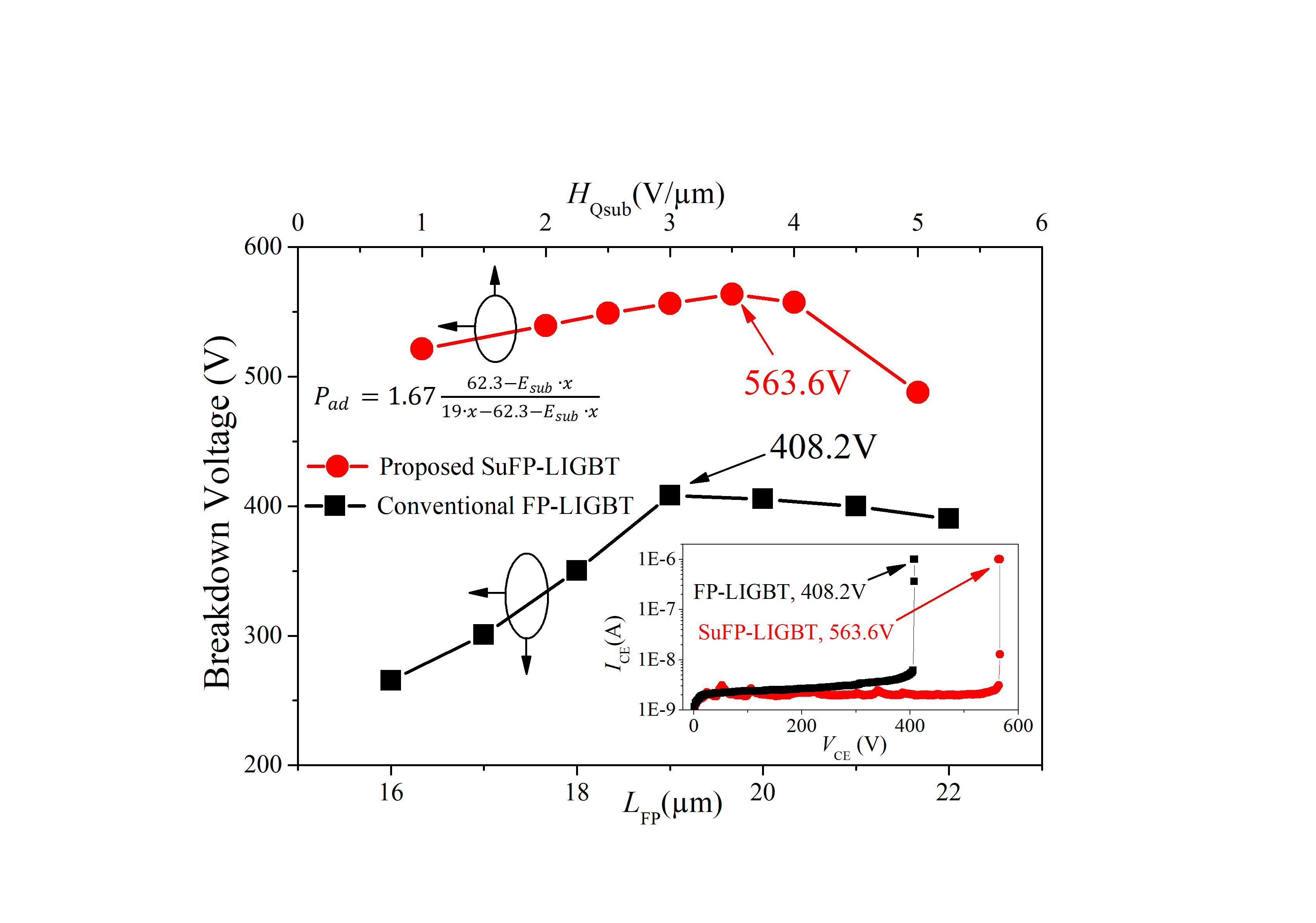
团队针对LIGBT器件耐受高电压的关键能力,从器件雪崩击穿的本质出发,根据电荷对电场影响的物理机制,设计出一种感应电荷量可控的超级场板技术。该技术利用器件场板与漂移区间形成的寄生电容,以及互连金属间的寄生电容形成串联电容结构,通过设计寄生电容设计控制器件耐压状态下的感应电荷量,并基于电荷平衡理论推导出了超级场板的参数设计方法,基于500V耐压等级的LIGBT实验结果显示,超级场板实现了均匀电场分布,将器件耐压能力提升了38.1%,达到了18.8V/μm,与目前最先进的超结技术耐压能力持平,但是,本工作所提出的超级场板技术额外具有无需占用漂移区、无需P型掺杂工艺、适用于第三代半导体器件GaN-HEMT等优点,因此,该技术相比现有技术具有明显的优势,对未来功率器件的发展具有重要推动作用。

超级场板LIGBT器件结构示意图(上)及耐压能力测试结果(下)
永利yl23411官网集成电路团队主要开展功率半导体芯片、第三代半导体芯片、神经形态芯片、智能感知系统等新型器件、电路及系统研究。该工作得到了国家自然科学基金面上项目、山东省自然科学基金、济南市市校融合发展专项等项目的支持。
撰稿:张春伟 编辑:张雅静 编审:张伟