近日,永利yl23411官网化学化工学院王斌教授课题组与厦门大学王斌举教授、韩国梨花女子大学Wonwoo Nam教授合作在国际化学领域权威期刊《美国化学会志》(J. Am. Chem. Soc. 2023, DOI:10.1021/jacs.3c09508.)发表了题为“Mononuclear Non-Heme Manganese-Catalyzed Enantioselective cis-Dihydroxylation of Alkenes Modeling Rieske Dioxygenases”的研究论文。

在环境友好的条件下,发展地球丰产的廉价金属催化烯烃不对称双羟化反应是合成化学和催化化学领域中重要且颇具挑战性的课题。自然界中的Rieske双加氧酶可以在绝对温和、绿色的条件下通过O2的活化将芳烃和烯烃C=C选择性地氧化为手性顺式邻二醇产物(图1A)。
化学化工学院王斌教授课题组长期致力于仿生催化氧化及反应机理研究(J. Am. Chem. Soc. 2023, 145, 5456; CCS Chem. 2022, 4, 2369; ACS Catal. 2022, 12, 6756.)。受Rieske双加氧酶活性位点结构特征及其催化双羟化反应机制启发,近日该课题组发展了单核非血红素锰配合物催化以H2O2或KHSO5为氧化剂的烯烃不对称双羟化反应新体系(图1D,J. Am. Chem. Soc. 2023, https://doi.org/10.1021/jacs.3c09508.),对于一系列烯烃的不对称双羟化可以获得有用的分离产率和高达99%的ee值。该催化体系的主要特征包括:(1)廉价无毒和地球丰产的锰作催化剂,(2)环境友好的反应条件,(3)优秀的顺式双羟化选择性和对映选择性。

图1. 研究背景及工作设想(图片来源:J. Am. Chem. Soc.)
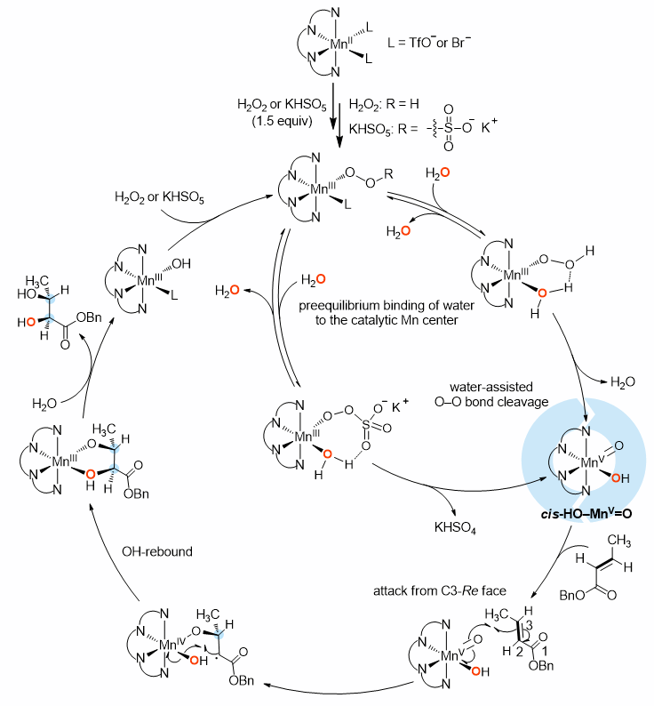
反应机理研究表明通过H2O辅助MnIII-OOH或MnIII-OOSO3–的O−O异裂生成的HO–MnV=O物种是烯烃双羟化反应的活性中间体(图2),这一研究结果使人联想到了Rieske双加氧酶催化芳烃双羟化反应中可能涉及的HO–FeV=O物种(图1A)。另外,HO–MnV=O与烯烃的反应经历了与Mn(V)配位的O原子对烯烃C=C的进攻和“OH反弹”这两步反应(图2),前一步反应的能垒较高,控制反应的对映选择性。因此,该工作首次在非血红素锰配合物催化以H2O2为氧化剂的烯烃不对称双羟化反应中复制了Rieske双加氧酶的催化功能和反应机制。

图2. 可能的催化反应机理(图片来源:J. Am. Chem. Soc.)
综上所述,仿生催化烯烃不对称双羟化反应不仅为基于金属Os的Sharpless不对称双羟化反应提供了一种更加高效、绿色、精准的替代方法,还可以促进对Rieske双加氧酶催化机制和相关生物过程的深入理解。
厦门大学王斌举教授、韩国梨花女子大学Wonwoo Nam教授和永利王斌教授为本文的通讯作者,永利yl23411官网化学化工学院为第一完成单位。研究工作得到了永利yl23411官网高层次人才引进学科建设经费、国家自然科学基金、山东省自然科学基金和泰山学者计划的资助。
撰稿:王斌 编辑:张雅静 编审:张伟